The utter shock that comes with a putt lipping out is more than enough of a distraction away from the truth. We are so immediately and regrettably forced to accept bogey while feeling like we deserved par that most of us have never really bothered to ask a natural follow-up question:
What the hell just happened?
As it turns out, lip outs offer a great lesson in mystifying physics, as evidenced by a recent study named “Mechanics of the golf lip out,” published this week in Royal Society Open Science.
Authors John Hogan and Mate Antali know a lot more about math and physics than just about anyone wielding a Scotty Cameron, but their recent work analyzed the forces in play when a putt nears the edge of the hole, touches the rim and, at times, seems to defy gravity.
In the most basic sense, your putt is simply acting with various forces like velocity and angular motion that determine results based on where the ball enters the hole. Hogan and Antali broke up the area of the golf hole into sections and found that the expected actions of a golf ball at the absolute rim of the hole and the area just beneath the rim create two distinct types of lip outs:
– Rim lip out
– Hole lip out
Rim lip outs are much more common, as hole lip outs are expected to take place only when the center of gravity of the ball (its center) dips below ground level — aka begin to disappear into the jar. They do happen, of course, just not that often, as we’ll venture to explain below.
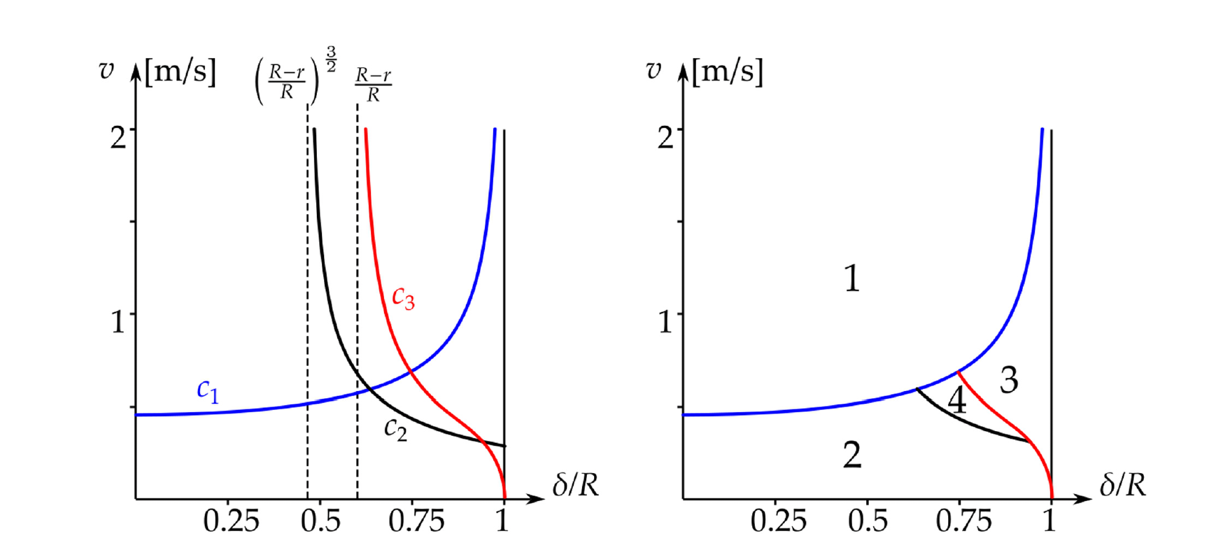
The corner of their study that seems easiest to understand came in the form of these two charts above. On the left are colored curves that show velocity (y-axis) against position in regards to the edge of the cup (x-axis). Anything above the blue curve is moving with enough velocity that the ball would lose contact with the edge of the hole and fall in. Anything below the blue curve is keeping contact with the rim — if ever so briefly — and would be susceptible to lip outs.
On the right is a clearer picture for those who didn’t take advanced Calculus. You have numbered regions 1, 2, 3 and 4. Putts involving the conditions in region 2 would be expected to fall into the cup — likely for they are not moving with too much pace, and/or enter the hole closer to the center of the cup (rather than the edge). But region 3 — greater velocity, closer to the edge — would expect a “rim lip out.”
The authors arrive at these results with spin-free motion, which can makes sense given most putts are rolling end over end near the hole. The study evokes esoteric terms like separatrices, potential energy, dry friction and more, which may not mean much to you, but is what brings us to the trickiest part of that chart: region 4.
Without spinning, region 4 would almost always result in balls falling into the cup — largely because a standard cup is roughly 10 centimeters deep — but because spin may take place as a ball reaches the rim of the cup begins to turn and begins to fall in, putts moving with specific conditions can see the ball dip below the ground horizon and use that spin to find a state of zero pitch (downward movement, in this case), causing them to revolve around the jar and soon eject back out of the hole.
It’s in that region 4 where a ball can experience a “pendulum-like” motion, rolling around the wall of the cup. It’s rare, but it’s what Hogan and Antali have dubbed “golf balls of death”: truly the worst nightmare for golfers grinding out a score. (To understand it better, watch this video.) As dramatic as that name may seem, it is simply a nod to the steady state of motion similarly applied to the famous circus act “the wall of death,” where motorcyclists rip around apparently perpendicular to the ground, using angular forces to stay upright in an enclosed setting. (Yes, that means you have a new name for the worst lip outs you have ever seen — just make sure you use it properly. It won’t happen often!)
Now is where it feels important to note: a golf course does not exist in a vacuum. These models are determined via standardized shapes on a PDF, not via the contours and architectures we find outdoors, with different grains of grass, moisture levels and weather conditions. Any number of these things can impact a putt’s willingness to fall into the hole or shirk those responsibilities and leap back out. And that’s just from Mother Nature. There is always the interior cut of the hard-plastic cup inside the hole, which isn’t always so perfectly perpendicular to the green.
Alas, whether or not this study has solved the riddle, there is always a bottom line we can all agree upon: the more your putt moves at the center of the cup, the better. Because the rim teaches hard lessons.
To read the entire study, click here.